Estimated
Pace for this section: 1 hour
Required
Equipment: Training Manual (Click to
download Word Document)
Training
Page: <Previous | 1
| 2 | 3 | 4
| Next >
Training
Part 3
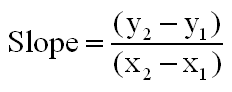
The equation
to find slope comes from the "rise over run" definition.
You may have noticed that the rise is just the difference between
y-values of the points and that the run is the difference between
the x-values. If the two points on the line are (x1, y1) and (x2,
y2), then the equation of slope is:

Here's an example
of using this equation with 2 points to find the slope of a line:

Use the applet
below to practice finding the slope between 2 points. You will need
to record some examples in your training manual and can include
your work there. This will go on forever, so use it until you feel
comfortable and then move on. Be careful with your negatives!
Don't worry,
you're almost done. Go to page 4 to see the final two tasks you
need to compelte to be done with training.
Training Page:
<Previous | 1
| 2 | 3 | 4
| Next >
|